医脉通编译整理,转载请务必注明出处。
Ann Oncol于2016年1月26日在线发表了2016欧洲癌症死亡率预测数据。据报告估计,2016年欧洲癌症死亡率总体呈下降趋势,特别是对于男性。白血病导致的癌症死亡形势乐观,尤其是对于儿童和年轻人。
当前癌症死亡统计数据对于公共卫生决策的制定和资源的分配十分重要。该报告预测了2016年欧盟癌症死亡的年龄校正的比率和数量。
研究人员从世界卫生组织数据库和欧盟统计局获得了结直肠癌、胰腺癌、肺癌、乳腺癌、子宫癌、前列腺癌、白血病及总癌症的人群数据和死亡证书。获得了来自欧盟(28个国家)、以及法国、德国、意大利、波兰、西班牙和英国这6个主要国家的数据。根据在最近的时间段内估计的死亡数量利用联合回归模型进行线性回归,从而获得不同年龄人群的2016年的预计癌症死亡数量。
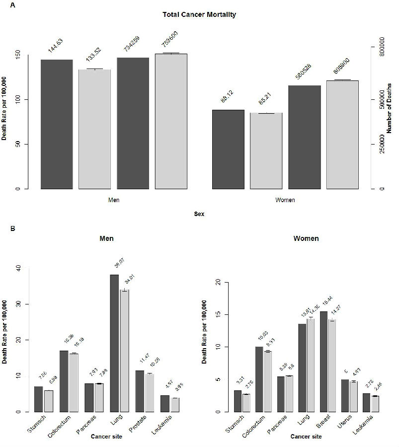
2016年欧盟男性和女性的预计总癌症死亡趋势都是有利的,男性的总癌症死亡比率为33.5/100,000,女性为85.2/100,000(由于人群老龄化原因,自2011年起分别从8%和3%下降)。对应的总癌症死亡数量预计为1,359,500,其中男性为753,600,女性为605,900(与2011年相比+3%)。
图1. 总癌症死亡人数、男性和女性各类型癌症死亡率

在男性中,肺癌、结直肠癌和前列腺癌分别从2011年下降了11%、5%和8%。女性的乳腺癌、结直肠癌死亡趋势有利,相比于2011年分别下降了8%和7%,但肺癌和胰腺癌比率分别增长了5%和4%,比率分别达到了14.4/100,000和5.6/100,000。
图2. 1970-2016年的男性和女性各类型癌症死亡率趋势

所有年龄组的男性和女性的白血病预计死亡形势乐观, 特别是年轻人群的白血病预计死亡人数大幅下降。男性白血病死亡比率为4.0/100,000,女性为2.5/100,000,分别下降了14%和12%。
图3. 1970-2016年不同年龄人群的白血病死亡率趋势

2016年欧盟癌症死亡预测数据确认了癌症死亡比率的乐观形势,特别是对于男性。肺癌仍然可能是导致女性癌症死亡的首要原因。白血病导致的癌症死亡预计将继续下降,尤其是儿童和年轻人,这主要是由于癌症管理和治疗的进步,以及欧洲癌症治疗的普及。
文献全文:Malvezzi M, Ann Oncol 2016 Jan 26;[Epub ahead of print] PMID:26812903