医脉通编译,转载请注明出处
近期发表在JCO上的一篇研究显示,与组织HER2相比,血浆HER2胞外结构域浓度能够更有效的预测拉帕替尼治疗HER2阳性乳腺癌患者的PFS获益。同时血浆HER2胞外结构域浓度也是一种独立预后因子,在未接受HER2靶向治疗的患者中,血浆HER2胞外结构域浓度越高预后越差。医脉通整理报道。
作为EGFR和HER2的酪氨酸激酶抑制剂(TKI),拉帕替尼联用紫杉醇一线治疗HER2扩增的乳腺癌和联用卡培他滨二线治疗曲妥珠单抗失败的乳腺癌均能够改善患者的预后。然而在近期一项研究中,强效TKI阿法替尼治疗曲妥珠单抗耐药的HER2阳性乳腺癌患者的无进展生存(PFS)并不优于继续曲妥珠单抗方案,总生存(OS)甚至劣于曲妥珠单抗方案。因此目前尚需合适的生物标志物以预测EGFR/HER2 TKI治疗HER2阳性乳腺癌患者的疗效。
相关报道:[Lancet Oncol]HER2+乳腺癌二线治疗:阿法替尼劣于曲妥珠单抗
过去几十年里,只有组织HER2(tHER2)情况用于预测抗HER2靶向治疗的效果。很多大型前瞻性相关性分析都没有找到能够进一步预测抗HER2治疗疗效的生物标志物。近期一项发表在JCO上的回顾性研究,对几项比较拉帕替尼或安慰剂疗效的随机对照研究(EGF30001、EGF30008、EGF100151)的患者数据进行了分析,评估了其中1902位患者的血清HER2胞外结构域(sHER2)和tHER2的水平。及其对拉帕替尼疗效的预测作用。
患者中位随访时间为33.8个月,共有1335位(71%)患者发生疾病进展,1027位(54%)患者死亡。
14%患者的tHER2检测标本来自于转移灶,82%患者的标本tHER2来自于原发肿瘤其余6%患者标本来源部位不明。总体仅有515例(27%)出现tHER2扩增。
EGF30001、EGF30008、EGF100151三项研究的中位sHER2浓度为11.5ng/ml、10.2ng/ml、26.8ng/ml。tHER2阳性患者(n=515)的中位sHER2浓度为25.1ng/ml(四分位距IQR:11.7-93.3),tHER2阴性患者(n=1388)的中位sHER2浓度为10.1ng/ml(IQR:8.4-13.4)。tHER2阳性患者和tHER2阴性患者的中位sHER2浓度的差为15.0ng/ml(符号检验P<0.001)。
将三项研究的数据总合后,总体上来看,接受含拉帕替尼的治疗方案的患者(拉帕替尼组)比接受无拉帕替尼的治疗方案的患者(对照组)有显著的PFS获益(来自试验的HR=0.855,95%CI 0.768-0.951,P=0.004).然而,拉帕替尼组并没有表现出显著的OS获益(来自试验的HR=0.941,95%CI 0.833-1.064,P=0.33)。
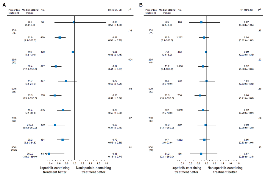
tHER2与sHER2的预测价值
在tHER2阳性亚组中,拉帕替尼组的PFS获益优于对照组(HR=0.638,95%CI 0.521-0.781,P<0.001),但是tHER2阴性亚组中,拉帕替尼组和对照组PFS无统计学差异(HR=0.940,95%CI 0.828-1.067,P=.33),治疗组内,tHER2交互P=0.001。
sHER越高,拉帕替尼组比对照组的PFS获益越大。sHER2平均水平每增加10ng/ml,拉帕替尼组比对照组PFS改善相应提高3.4%(sHER2交互P<0.001)。
而将tHER2和sHER2联合起来进行预测价值评估时发现,sHER2每增加10ng/ml,HR相应降低2.7%,而tHER2的预测价值未达到统计学显著。
在tHER2阳性的亚组中(n=515),sHER2每增加10ng/ml,HR相应降低2.4%,而在tHER2阴性亚组中(n=1388),sHER2每增加10ng/ml,HR相应降低4.3%。

不同sHER2水平与拉帕替尼治疗的PFS获益:左,tHER2阳性;右,tHER2阴性
(点击查看大图)

不同sHER2水平接受/不接受拉帕替尼的PFS(A:tHER2阳sHER2性>12.5ng/ml;B:tHER2阳性sHER2≤12.5ng/ml;C:tHER2阴性sHER2>9.6ng/ml;D:tHER2阴性sHER2≤9.6ng/ml)
然而在OS方面,sHER2水平不同或tHER2情况不同并没有使治疗效果产生差异。
基础sHER2的预测价值
在对照组的936位患者中,sHER2水平较高与更差预后相关。sHER2每增加10ng/ml,相应疾病进展率和死亡率分别增加4.3%和3.9%(每增加10ng/ml,PFS HR=1.043,95CI 1.032-1.053,P<0.001;OS HR=1.039,95%CI 1.028-1.049,P<0.001)。
多因素分析中,在考虑了其它基础特征(包括tHER2)后,sHER2每增加10ng/ml,疾病进展率和死亡率分别相应增加2.4%和1.8%。
总而言之,sHER2高水平是拉帕替尼治疗的PFS获益的预测生物标志物,独立于tHER2的情况。sHER2同样是未接受抗HER2治疗的患者更差生存的独立预后生物标志物。而sHER2对其它抗HER2药物的预测作用需要未来进一步的研究,包括曲妥珠单抗。最重要的是,由于研究使用的ELISA方法价格较低,且标本来自于血液,因此sHER2检测将能更容易进入临床。
原文编译自:Serum Human Epidermal Growth Factor 2 Extracellular Domain as a Predictive Biomarker for Lapatinib Treatment Efficacy in Patients With Advanced Breast Cancer. JCO, Published online ahead of print on January 25, 2016.